为配合学校扎实做好2021年国家励志奖学金评审工作,确保品学兼优的家庭经济困难学生切实得到奖励和资助,现根据《江苏大学本科生国家奖学金国家励志奖学金国家助学金管理实施细则》(江大校〔2020〕108号)《江苏大学家庭经济困难本科生资助管理实施办法》(江大校〔2021〕163号)《关于做好2021年本科生国家励志奖学金评审工作的通知》(江大校〔2021〕42号),将bet365博彩
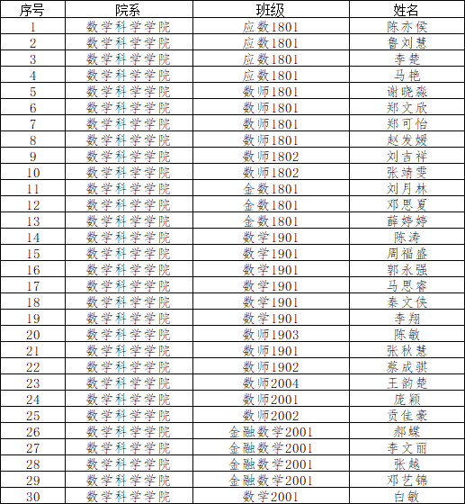
拟推荐结果公示如下:

公示三天,有异议的师生可以到数科院203办公室,或者致电0511-88780160进行咨询,联系人:尹老师。
bet365博彩
2021年10月21日